Harrold, J.A. et al. (2023)
International Journal of Obesity, 5 Oct 2023
Soort onderzoek: Gerandomiseerd gecontroleerd onderzoek
Er is overtuigend bewijs dat suikerhoudende dranken een belangrijke bron zijn van toegevoegde suikers en makkelijk tot overconsumptie leiden. Daarmee leveren ze een bijdrage aan gewichtstoename en vergroten ze het risico op hart- en vaatziekten, diabetes type 2 en bepaalde vormen van kanker. Er bestaan meerdere studies die kijken naar het effect van light drank op het lichaamsgewicht. Deze studies duurden echter 3 maanden of korter. Er is dus behoefte aan studies waarin gekeken in naar het effect van light drank op het lichaamsgewicht die langer dan 3 maanden duren. Deze SWITCH-studie voldoet aan die behoefte.
De auteurs concluderen dat deze studie laat zien dat het gewichtsverlies na 52 weken groter was in de groep die light drank dronk vergeleken met de groep die water dronk. Hoewel het verschil statistisch significant is, vinden ze het verschil te klein om in de praktijk relevant te zijn (niet klinisch significant). Daarvoor zou het verschil in gewichtsverlies 1,5 kg of meer moeten zijn.
Harrold JA, Hill S, Radu C, et al. Non-nutritive sweetened beverages versus water after a 52-week weight management programme: a randomised controlled trial [published online ahead of print, 2023 Oct 5]. Int J Obes (Lond). 2023;10.1038/s41366-023-01393-3.
Er is overtuigend bewijs dat suikerhoudende dranken een belangrijke bron zijn van toegevoegde suikers en makkelijk tot overconsumptie leiden. Daarmee leveren ze een bijdrage aan gewichtstoename en vergroten ze het risico op hart- en vaatziekten, diabetes type 2 en bepaalde vormen van kanker [1]. In de Richtlijnen goede voeding van de Gezondheidsraad staat dan ook [2]:
“Drink zo min mogelijk suikerhoudende dranken”
Als alternatief worden vaak water, thee, koffie en light dranken genoemd. Recente systematic reviews met meta-analyses (zie kader) bevestigen dat het vervangen van suikerhoudende dranken door light dranken tot gewichtsverlies leidt [3-6]. Er is echter discussie over de effecten op de langere termijn [7,8]. De meeste studies die in de meta-analyses zijn meegenomen duren namelijk 3 maanden of korter. Het ‘gebrek’ aan langeretermijnstudies was voor de ‘World Health Organization’ (WHO) in mei 2023 reden voor haar voorwaardelijke aanbeveling om geen zoetstoffen te gebruiken voor gewichtsbeheersing en het verminderen van het risico op chronische ziekten [9]. Er is dus behoefte aan studies waarin gekeken in naar het effect van light drank op het lichaamsgewicht die langer dan 3 maanden duren. Deze SWITCH-studie voldoet aan die behoefte.
Wat is een systematic review en een meta-analyse? Vaak zijn er meerdere vergelijkbare studies over een onderwerp gepubliceerd. De resultaten kunnen hetzelfde zijn, maar ze kunnen ook van elkaar verschillen. Om een juist beeld te krijgen van de stand van zaken op dat moment is het belangrijk om te weten welke studies er allemaal zijn gepubliceerd en wat de resultaten zijn. Om dat zo nauwkeurig mogelijk te doen wordt er vaak gestructureerd in de wetenschappelijke literatuur gezocht met inclusie- en exclusiecriteria. Het resultaat kan gepubliceerd worden in een zogenaamde systematic review. Als aanvulling op een systematic review kunnen de resultaten van vergelijkbare studies statistisch worden samengevoegd tot één resultaat. Dit vergroot de bewijskracht omdat het aantal deelnemers dan toeneemt. Een dergelijke samenvoeging van resultaten heet een meta-analyse. Niet iedere studie weegt hierbij even zwaar mee. Een goede studie weegt zwaarder mee dan een minder goede studie. De betrouwbaarheid van de resultaten uit een meta-analyse is echter wel afhankelijk van de kwaliteit van de afzonderlijke studies die daarin zijn meegenomen. |
De SWITCH-studie staat voor: EffectS of non-nutritive sWeetened beverages on appetITe during aCtive weigHt loss (SWITCH). Dit is een gecontroleerde interventiestudie die bestaat uit drie fasen:
Voor die studie zijn deelnemers (18-65 jaar) met overgewicht of obesitas (BMI: 27-35 kg/m2) gedurende alle drie de fasen in twee willekeurig gekozen groepen verdeeld:
De deelnemers konden binnen de toegewezen groep uit verschillende dranken kiezen die dan gratis door een bezorgservice thuis werden afgeleverd. Alle deelnemers waren vrij om daarnaast ook nog suikerhoudende drank (en water) te drinken. Ze kregen wel advies over wat een gezond eetpatroon is en hoe je de calorie-inname kunt verminderen (onder andere door het beperken van suikerhoudende dranken). Tijdens de drie fasen hebben de deelnemers verschillende vragenlijsten ingevuld over onder andere de voedingsinname, het eetgedrag en de gezondheid. Ook is er bloed bij ze afgenomen en is de lichamelijke activiteit bijgehouden met een activiteitentracker (Fitbit), waar alle deelnemers van werden voorzien. De resultaten van fase 1 zijn eerder dit jaar gepubliceerd [10]. Deze publicatie gaat over de resultaten van fase 2 [11]. De resultaten van fase 3 zijn nog niet gepubliceerd en zullen later volgen.
De gebruikte onderzoeksmethode is een open label gerandomiseerde en gecontroleerde interventiestudie. Een dergelijke onderzoeksmethode heeft een hoge bewijskracht (zie figuur 1). In tegenstelling tot een observationele studie, waar niet ingegrepen wordt, kan een gerandomiseerde, gecontroleerde interventiestudie iets meer zeggen over een oorzakelijk verband. Bij voorkeur wordt zo’n studie dubbelblind uitgevoerd. Dat betekent dat zowel de onderzoekers als de deelnemers niet weten welke interventie ze krijgen. Of enkelblind, waarbij de onderzoekers wel weten welke interventie de deelnemers krijgen, maar de deelnemers zelf niet. Bijvoorbeeld door het gebruik van een placebo-middel. Deze studie kon onmogelijk dubbelblind of enkelblind worden uitgevoerd, omdat er een duidelijk verschil in smaak was. Je kunt deelnemers nu eenmaal niet laten geloven dat ze light drank krijgen, terwijl ze water krijgen en vice versa. Wanneer zowel de onderzoekers als de deelnemers op de hoogte zijn van de interventie wordt er gesproken van een open label-studie. Aangezien in deze studie juist smaakverschil invloed zal hebben op de resultaten heeft dat geen negatieve invloed op de bewijskracht.

Figuur 1: De piramide van bewijskracht.
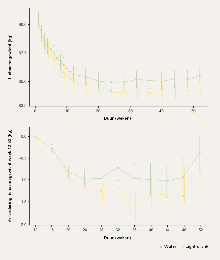
Na 12 weken was het gewichtsverlies in beide groepen ongeveer 5,7 kg (zie tabel 1) [10]. De middelomtrek was wel sterker afgenomen in de groep die light drank dronk (5,9 versus 7,2 cm). Na 52 weken was het gewichtsverlies in de groep die water dronk toegenomen tot 6,1 kg (zie tabel 2 en figuur 2). De groep die light drank dronk had een gewichtsverlies van 7,5 kg, een verschil van 1,4 kg. Dit verschil was significant, maar de vraag is of het verschil ook groot genoeg is om relevant te zijn voor de gezondheid. De onderzoekers geven aan dat het verschil daarvoor ≥ 1,5 kg moet zijn. Deze gegevens zijn gebaseerd op deelnemers die de volledige 52 weken hadden afgerond. Er was echter een behoorlijke uitval van 47%, waardoor er missende gegevens zijn. Daarom zijn er twee alternatieve analyses uitgevoerd. In één complexe analyse zijn de missende gegevens met een ‘voorspellend gemiddelde’ ingevuld. Het gewichtsverlies was dan respectievelijk 6,3 en 7,1 kg. In een andere analyse zijn van de uitvallers de laatste gegevens als definitief beschouwd (last observation carried forward). Iemand die bijvoorbeeld na 40 weken afhaakte en toen een gewichtsverlies had van 3,0 kg, werd berekend als een gewichtsverlies van 3,0 kg na 52 weken. Het gewichtsverlies was dan respectievelijk 4,9 en 5,5 kg. In beide alternatieve analyses was er geen significant verschil tussen de twee groepen.
Uitkomstmaat | Week 0 | Week 12 | Verschil |
Gewicht (kg) |
|
|
|
Water | 90,4 | 84,8 | -5,6 |
Light drank | 89,7 | 83,9 | -5,8 |
Vetmassa (kg) |
|
|
|
Water | 35,8 | 32,0 | -3,8 |
Light drank | 36,6 | 32,2 | -4,4 |
Middelomtrek (cm) |
|
|
|
Water | 104,2 | 98,3 | -5,9 |
Light drank | 104,2 | 96,9 | -7,2 |
Systolische bloeddruk (mmHg) |
|
|
|
Water | 134,3 | 130,3 | -4,1 |
Light drank | 134,4 | 129,9 | -4,4 |
Diastolische bloeddruk (mmHg) |
|
|
|
Water | 82,6 | 78,2 | -4,3 |
Light drank | 82,7 | 80,0 | -2,6 |
Totaal cholesterol (mmol/l) |
|
|
|
Water | 5,4 | 4,9 | -0,5 |
Light drank | 5,2 | 4,8 | -0,4 |
LDL-cholesterol (mmol/l) |
|
|
|
Water | 3,2 | 2,9 | -0,3 |
Light drank | 3,1 | 2,9 | -0,3 |
HDL-cholesterol (mmol/l) |
|
|
|
Water | 1,5 | 1,4 | -0,1 |
Light drank | 1,5 | 1,3 | -0,1 |
Triglyceriden (mmol/l) |
|
|
|
Water | 1,5 | 1,3 | -0,2 |
Light drank | 1,3 | 1,2 | -0,1 |
Nuchtere glucose (mmol/l) |
|
|
|
Water | 5,1 | 5,0 | -0,1 |
Light drank | 5,0 | 5,0 | -0,1 |
Nuchtere insuline (pmol/l) |
|
|
|
Water | 87,9 | 67,0 | -20,9 |
Light drank | 79,2 | 67,0 | -12,2 |
Honger (VAS, 0-100 mm) |
|
|
|
Water | 43,1 | 40,4 | -2,7 |
Light drank | 44,3 | 38,1 | -6,2 |
Suiker-inname (punten) |
|
|
|
Water | 111,0 | 57,3 | -53,7 |
Light drank | 113,2 | 51,2 | -62,1 |
Zoetstof-inname (punten) |
|
|
|
Water | 16,4 | 2,8 | -13,5 |
Light drank | 15,6 | 15,0 | -0,7* |
Lichaamsbeweging (stappen/dag) |
|
|
|
Water | 8.371 | 9.480 | 1.108 |
Light drank | 8,129 | 9.308 | 1.179 |
Tabel 1: Effect van de interventie op het lichaamsgewicht (kg) na 12 weken. Resultaten zijn van de deelnemers die de eerste 12 weken hebben afgerond (exclusief uitvallers). Groen is significant verschil met week 0 (p<0,05). * is significant verschil met water.
Uitkomstmaat | Week 0 | Week 52 | Verschil |
Gewicht (kg) |
|
|
|
Water | 89,6 | 83,5 | -6,1 |
Light drank | 89,6 | 82,1 | -7,5* |
Vetmassa (kg) |
|
|
|
Water | 35,4 | 30,3 | -5,1 |
Light drank | 36,5 | 30,4 | -6,1 |
Middelomtrek (cm) |
|
|
|
Water | 104,1 | 97,1 | -7,0 |
Light drank | 104,8 | 96,2 | -8,6 |
Systolische bloeddruk (mmHg) |
|
|
|
Water | 136,4 | 130,2 | -6,2 |
Light drank | 135,1 | 131,2 | -3,9 |
Diastolische bloeddruk (mmHg) |
|
|
|
Water | 83,6 | 79,1 | -4,5 |
Light drank | 83,3 | 79,5 | -3,8 |
Totaal cholesterol (mmol/l) |
|
|
|
Water | 5,5 | 5,2 | -0,3 |
Light drank | 5,3 | 5,2 | -0,1 |
LDL-cholesterol (mmol/l) |
|
|
|
Water | 3,3 | 3,1 | -0,2 |
Light drank | 3,2 | 3,0 | -0,2 |
HDL-cholesterol (mmol/l) |
|
|
|
Water | 1,5 | 1,4 | 0,0 |
Light drank | 1,5 | 1,6 | 0,1* |
Triglyceriden (mmol/l) |
|
|
|
Water | 1,5 | 1,4 | -0,2 |
Light drank | 1,3 | 1,1 | -0,2 |
Nuchtere glucose (mmol/l) |
|
|
|
Water | 5,1 | 5,0 | -0,1 |
Light drank | 5,0 | 5,0 | 0,0 |
Nuchtere insuline (pmol/l) |
|
|
|
Water | 87,8 | 76,1 | -11,7 |
Light drank | 77,7 | 63,6 | -14,1 |
Honger (VAS, 0-100 mm) |
|
|
|
Water | 43,4 | 40,8 | -2,7 |
Light drank | 40,0 | 40,0 | 0,0 |
Suiker-inname (punten) |
|
|
|
Water | 114,6 | 71,4 | -43,2 |
Light drank | 112,0 | 66,3 | -45,7 |
Zoetstof-inname (punten) |
|
|
|
Water | 15,7 | 2,5 | -13,1 |
Light drank | 14,5 | 15,7 | 1,2 |
Lichaamsbeweging (stappen/dag) |
|
|
|
Water | 8.467 | 8.464 | -3,6 |
Light drank | 8.629 | 9.498 | 869 |
Tabel 2: Effect van de interventie op het lichaamsgewicht (kg) na 52 weken. Resultaten zijn van de deelnemers die de eerste 52 weken hebben afgerond (exclusief uitvallers). Groen is significant verschil met week 0 (p<0,05). * is significant verschil met water.

Figuur 2: Visuele weergave van het gewichtsverloop tijdens de studie. Boven: de verandering van het lichaamsgewicht vanaf week 0 tot en met week 52. Onder: het gewichtsverlies vanaf week 12 tot en met week 52. Resultaten zijn van de deelnemers die de eerste 52 weken hebben afgerond. Figuur overgenomen van de publicatie en vertaald.
De auteurs concluderen dat deze studie laat zien dat het gewichtsverlies na 52 weken groter was in de groep die light drank dronk vergeleken met de groep die water dronk. Hoewel het verschil statistisch significant is, vinden ze het verschil te klein om in de praktijk relevant te zijn (niet klinisch significant). Daarvoor zou het verschil in gewichtsverlies 1,5 kg of meer moeten zijn.
Er zijn enkele andere studies waarin gekeken is naar het effect van light drank en water op het lichaamsgewicht en die 6 maanden of langer duurden.
2012
In de CHOICE-studie (Choose Healthy OptIons Consciously Everyday) werden 318 deelnemers (18-65 jaar) met overgewicht/obesitas (25,0-9,9 kg/m2) gedurenden 6 maanden in drie groepen verdeeld [12]:
Na zes maanden was het gewichtsverlies in de groep die alleen voedingsbegeleiding kreeg 1,8%. In de groepen die light drank en water gingen drinken was het gewichtsverlies respectievelijk 2,5 en 2,0%. De onderzoekers concluderen dat het vervangen van caloriebevattende drank door light drank of water een effectieve stategie is voor gewichtsverlies. Bovendien is het een eenvoudige en duidelijke boodschap.
2016
Deze studie vormde de basis voor de SWITCH-studie en bestond ook uit een fase van gewichtsverlies (12 weken) en een fase van gewichtsbehoud (40 weken) [13]. Hier werden 303 deelnemers (21-65 jaar) met overgewicht/obesitas (27-40 kg/m2) in 2 groepen verdeeld:
Van de deelnemers die de volledige 52 weken hadden afgerond was het gewichtsverlies in de groep die water dronk 3,4 kg. In de groep die light drank dronk was het gewichtsverlies 8,4 kg. De onderzoekers concluderen dat light dranken een effectieve strategie kunnen zijn voor gewichtsverlies en -behoud in de context van een gewichtsbeheersingsprogramma.
2018
Deze studie bestond ook uit een fase van gewichtsverlies (24 weken), gevolgd door een fase van gewichtsbehoud (52 weken). Hier zijn 71 vrouwen (18-50 jaar) met overgewicht/obesitas (BMI: 27-40 kg/m2) die gewoonlijk light drank drinken in 2 groepen verdeeld [14]:
In week 24 was het gewichtsverlies in de watergroep 8,5 kg en in de light drank-groep 7,6 kg. Aan het einde van de studie was dat respectievelijk 10,2 en 7,8 kg. De middelomtrek was afgenomen met respectievelijk 9,9 en 9,0 cm. De onderzoekers concluderen dat het vervangen van light drank door water na de lunch verdere gewichtsvermindering kan bevorderen bij vrouwen die regelmatig light drank drinken in de context van een gewichtsbeheersingsprogramma.
Het effect van aspartaam in een multidisciplinair gewichtsbeheersingsprogramma Als het gaat over de langetermijneffecten van zoetstoffen op het lichaamsgewicht is de 175 weken durende studie uit 1997 interessant [15]. In die studie werden 163 vrouwen met obesitas, na een run-in-periode van 3 weken, gedurende 16 weken in 2 groepen verdeeld. De ene groep volgde een multidisciplinar gewichtsbeheersingsprogramma met gebruik van voedingsmiddelen met aspartaam en de andere groep volgde een multidisciplinair gewichtsbeheersingsprogramma zonder gebruik van voedingsmiddelen met zoetstoffen. Deze 16 weken waren gericht op gewichtsverlies en werden gevolgd door een fase van gewichtsbehoud die 52 weken duurden. |
Deze studie laat zien (en bevestigt) dat light dranken, net als water, ingezet kunnen worden voor gewichtsverlies en gewichtsbehoud op de langere termijn.
| Groep | Week 0 | Week 12 | Verschil | |||
Water (n=191) | 90,4 | 84,6 | -5,6 |
| |||
Light drank (n=192) | 89,7 | 83,9 | -5,8 |
| |||
Tabel 1: Effect van de interventie op het lichaamsgewicht (kg) na 12 weken. Resultaten zijn van de deelnemers die de eerste 12 weken hebben afgerond.
| Groep | Week 0 | Week 52 | Verschil | ||||
Water (n=137) | 89,6 | 83,5 | -6,1 |
| ||||
Light drank (n=125) | 89,6 | 82,1 | -7,5 |
| ||||
Tabel 2: Effect van de interventie op het lichaamsgewicht (kg) na 52 weken. Resultaten zijn van de deelnemers die de eerste 52 weken hebben afgerond.
Lees publicatie op
https://www.nature.com/articles/s41366-023-01393-3